首页
公司概况
企业简介
组织架构
大事记
联系我们
资产处置
资产招租
资产拍卖
企业公示
资讯中心
企业资讯
采购公示
员工风采
公司党建
资产招租
资产拍卖
首页
>
资产处置
>
资产招租
>
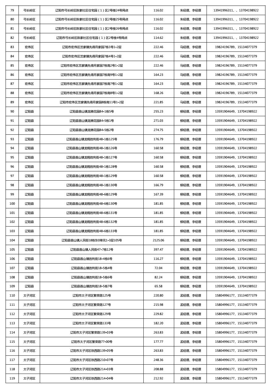
招租清单
点击
承租报名
,进行报名。
辽宁恒玖农牧业有限公司